Fentes de Young
Les fentes de Young ou interférences de Young désignent en physique une expérience qui consiste à faire interférer deux faisceaux de lumière issus d'une même source, en les faisant passer par deux petits trous percés dans un plan opaque.
Catégories :
Optique ondulatoire - Mécanique quantique - Physique quantique - Expérience de physique
Recherche sur Google Images :
Source image : commons.wikimedia.org Cette image est un résultat de recherche de Google Image. Elle est peut-être réduite par rapport à l'originale et/ou protégée par des droits d'auteur. |
Page(s) en rapport avec ce sujet :
- Si la lumière qui passe à travers une fente forme une image sur un écran, et que l'image est ... Appliquons ses résultats à la relation d'interférence :... (source : sciences)
- Nous reahsons des interferences a I'aide des deux fentes d'Young, nous pouvons... L'intensite des ondes issues de Si, apres diffraction par les deux fentes de Young, est ..... Nous observons sur I'ecran les deux fig. s de diffraction.... (source : springerlink)
- Pour 7 interfranges on a mesuré : 7i = 75 mm. La distance des fentes à l'écran étant de D = 6 mètres. AD. L'écartement des fentes de Young est : a = — soit... (source : ecoledessciences)
Les fentes de Young ou interférences de Young désignent en physique une expérience qui consiste à faire interférer deux faisceaux de lumière issus d'une même source, en les faisant passer par deux petits trous percés dans un plan opaque. Cette expérience fut réalisée pour la première fois par Thomas Young en 1801 et a permis de comprendre le comportement et la nature de la lumière. Sur un écran diposé en face des fentes de Young, on observe un motif de diffraction qui est une zone où s'alternent des franges sombres et illuminées.
Cette expérience permet alors de mettre en évidence la nature ondulatoire de la lumière. Elle a été aussi réalisée avec de la matière, comme les électrons, neutrons, atomes, molécules, avec lesquels on observe aussi des interférences. Cela illustre la dualité onde-particule : les interférences montrent que la matière présente un comportement ondulatoire, mais la façon dont ils sont détectés (impact sur un écran) montre leur comportement particulaire.
Des expériences identiques aux fentes de Young impliquant des électrons ont été réalisées. En 1961, Claus Jönsson à Tübingen produisait des interférences avec un fil d'araignée métallisé séparant un faisceau d'électrons en deux. En 1989, Tonomura et al. ont envoyé un électron sur un biprisme à électrons. Ils ont observé la figure d'interférence prédite par la théorie.
Interprétation classique du phénomène
Dans l'expérience de Young, on utilise une source lumineuse S monochromatique[1] et on interpose une plaque percée de 2 fentes. Celles-ci se comportent comme des sources secondaires S1 et S2. On observe alors, sur un écran positionné derrière, des franges alternativement sombres et claires : les ondes issues de S1 et S2 interfèrent entre elles.
Considérons désormais un point M localisé sur l'écran. Il est éclairé par les ondes lumineuses émises par S1 et S2 qui peuvent s'écrire respectivement, au point M :
et
,
où E0 est l'amplitude[2], ω la pulsation des ondes, Δφ leur déphasage et t le temps.
Δφ caractérise le fait qu'une onde a un certain retard comparé à l'autre. En effet, pour arriver au point M, le chemin à parcourir n'est pas de la même longueur pour la lumière qui provient d'une source ou de l'autre.
Si Δφ est un multiple de 2π, les ondes s'ajoutent et on obtient une frange lumineuse sur l'écran, ce qu'on nomme une interférence constructive. Par contre si Δφ est un multiple impair de π alors les ondes s'annulent et on obtient une frange sombre sur l'écran, c'est alors une interférence destructive. Cela explique pourquoi on observe, sur l'écran, des franges successivement claires et sombres. Mais il n'y a pas, a priori, de formule simple servant à décrire ces franges. Pour simplifier le problème, il est envisageable de supposer que l'écran est positionné loin des fentes.
Cas d'un écran éloigné
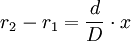
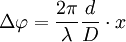
Supposer que l'écran est éloigné des fentes revient, plus exactement, à poser que la distance D entre l'écran et les fentes est grande devant la distance d entre les fentes (c'est-à-direD ≫ d).
Cette approximation est utile dans le calcul de Δφ. En effet, les distances de M à S1 et de M à S2, notées respectivement r1 et r2, vérifient alors :
où x est la distance de M au centre de l'écran.
Cette différence de trajet, fréquemment nommée différence de marche, correspond à un déphasage entre les deux rayons :
.
On peut alors montrer que l'intensité reçue au niveau de l'écran est proportionnelle à :
L'intensité est par conséquent répartie de manière périodique : les franges sont scindées d'une distance D·λ/d. Cela correspond, pour une lumière visible, avec des fentes scindées d'un millimètre, à des franges scindées d'un millimètre sur un écran positionné à deux mètres.
Cas d'un écran à l'infini
Pour pousser l'approximation à sa limite, on peut étudier le cas où les rayons interfèrent à l'infini, c'est-à-dire quand ils sont parallèles entre eux. Dans la pratique, cela s'obtient en plaçant l'écran à plusieurs mètres des fentes, ou bien en plaçant l'écran au foyer image d'une lentille convergente.
Dans ce cas, on montre rapidement (voir la figure ci-contre) que la différence de marche entre deux rayons interférant entre eux vaut :
.
Le même raisonnement que la dans la partie précédente donne un angle entre les franges valant λ/d.
Ces résultats aboutissent aux observations suivantes :
- plus les fentes sont éloignées l'une de l'autre, plus les franges sont rapprochées ;
- plus l'écran est éloigné, plus les franges sont espacées.
Rôle de la diffraction par chaque fente
Les calculs qui ont précédé montrent que l'intensité des franges est partout identique. Or on observe (voir figure ci-contre) que leur intensité diminue quand on s'éloigne du centre de l'écran. Deux phénomènes sont à l'origine de cette observation.
Premièrement, les fentes ont une certaine largeur, ce qui implique un phénomène de diffraction par chacune des fentes. En effet, une lumière envoyée sur un petit trou n'en ressort pas de façon isotrope (on observe une tache d'Airy). Cela se traduit par le fait que la lumière est surtout dirigée vers l'avant. Cet effet se répercute sur la figure observée après les fentes de Young : l'intensité des franges décroît au fur et à mesure qu'on s'éloigne du centre. Pour en tenir compte, il faut rajouter le facteur suivant à l'intensité reçue par l'écran :
où sinc est la fonction sinus cardinal et l est la largeur de chaque fente.
Le second phénomène à prendre en compte est le fait que les ondes émises en S1 et S2 sont des ondes spériques, c'est-à-dire que leur amplitude décroît au fur-et-à-mesure qu'elles avancent. Ainsi l'amplitude de E1 et de E2 ne sera pas la même au point M. Cela donne un nouveau facteur à rajouter à l'intensité :
On a par conséquent au final
.
Interprétation quantique du phénomène
L'expérience originelle de Thomas Young pouvait être interprétée de manière «classique» (voir ci-dessus), en utilisant les simples lois de Fresnel, et mettait en évidence le caractère ondulatoire de la lumière.
L'expérience de Young a ensuite été raffinée, surtout faisant en sorte que la source S émette un quantum à la fois. A titre d'exemple, on peut à l'heure actuelle émettre des photons ou des électrons un par un. Ceux-ci sont détectés un par un sur l'écran positionné après les fentes de Young : on observe tandis que ces impacts forment progressivement la figure d'interférences. Selon des lois classiques concernant les trajectoires de ces corpuscules, il est impossible d'interpréter ce phénomène.
L'interprétation quantique du phénomène est la suivante : le quantum émis prend un état juxtaposé lors du franchissement de la plaque : |quantum passe par S1> + |quantum passe par S2> (voir Notation bra-ket). De la fonction d'onde résultante, on peut déterminer pour chaque point de la plaque la probabilité que le quantum y soit détecté. On peut démontrer que la distribution des probabilités suit la figure d'interférence. C'est à dire, le quantum passerait par les deux fentes à la fois, et interfèrerait avec lui-même.
La figure ci-contre montre l'évolution de la fonction d'onde d'un électron au passage des deux fentes. Les niveaux de gris représentent la densité de probabilité de présence de l'électron. La taille réelle de l'électron est en fait énormément plus petite que sa zone de probabilité de présence (en forme de cercle) d'origine. On voit nettement que l'électron "interfère avec lui-même" : les franges d'interférences sont bien visibles au sortir des deux fentes (l'électron possède aussi une certaine probabilité de "rebondir" et de former aussi une figure d'interférence vers l'arrière).
Destruction de la figure d'interférence. Problème de la mesure
L'interprétation quantique de l'expérience repose sur le fait qu'un photon individuel se retrouve dans un état juxtaposé suite au franchissement des fentes. On peut interpréter ce fait en disant que le photon est passé par les deux fentes en même temps. Mais que se passe-t-il si, insatisfait par cette interprétation des choses, on cherche à détecter par quelle fente le photon "est réellement passé" ?
Le résultat net de l'expérience est qu'on détecte quoique le photon passe soit dans la fente de droite, soit dans la fente de gauche, mais alors la figure d'interférence disparait : le photon n'est plus dans un état juxtaposé suite à la mesure. La détection du photon dans l'une des fentes provoque un "effondrement de la fonction d'onde" et de l'état juxtaposé. C'est à dire, toute tentative de savoir de quel côté le quantum est passé ne permet plus d'obtenir des interférences.
L'expérience de Young permet par conséquent aussi de mettre en évidence le problème de la mesure quantique. Ce problème est que les lois quantiques ne prévoient pas directement cet effondrement, et qu'il n'existe par conséquent pas de définition objective et rigoureuse de ce qu'est une "mesure" (voir traitement complet de ce problème dans les articles Chat de Schrödinger et Problème de la mesure quantique).
A l'heure actuelle, des développements sur le sujet permettent de réaliser des expériences particulièrement identiques sur des objets de plus en plus volumineux, comme les atomes, les molécules, les condensats de Bose-Einstein. Surtout, on a observé des interférences avec des molécules de fullerène. Ces expériences démontrent que la vision purement corpusculaire de la matière n'est pas satisfaisante avec des objets de plus en plus gros, d'où la question récurrente de la dualité onde-corpuscule en physique quantique.
Notes
- ↑ Dans la pratique, on peut utiliser une lampe à vapeur atomique, une lampe blanche pourvu d'un filtre de couleur, ou encore un laser.
- ↑ On suppose, pour simplifier, que les deux ondes interfèrent dans une zone où leurs amplitudes sont les mêmes.
- (fr) Voici une animation interactive en français, qui illustre les interférences de Young.
- Un résumé de l'expérience de Tonomura, en anglais, sur le site de Hitachi : http ://www. hqrd. hitachi. co. jp/em/doubleslit. cfm
- http ://physicsweb. org/articles/world/15/9/1/1
- une vidéo explicative sur les trous et fentes de Young
- http ://vsg. quasihome. com/interf. htm Un site intéractif reproduisant l'expérience de Young.
Bibliographie
- Claus Jönsson, Zeitschrift für Physik 161, 454-474 (1961) ; Claus Jönsson, 1974 Electron diffraction at multiple slits American Journal of Physics 42 4-11 :
- http ://www. physik. uni-muenchen. de/leifiphysik/web_ph12/versuche/09jœnsson/jœnsson. htm
- A Tonomura, J Endo, T Matsuda, T Kawasaki and H Ezawa 1989 Demonstration of single-electron build-up of an interference pattern American Journal of Physics 57 117-120
Recherche sur Amazone (livres) : |
Voir la liste des contributeurs.
La version présentée ici à été extraite depuis cette source le 12/04/2009.
Ce texte est disponible sous les termes de la licence de documentation libre GNU (GFDL).
La liste des définitions proposées en tête de page est une sélection parmi les résultats obtenus à l'aide de la commande "define:" de Google.
Cette page fait partie du projet Wikibis.














Accueil
Recherche
Début page
Contact
Imprimer
Accessibilité