Liaison chimique
La liaison chimique est le phénomène physique qui lie les atomes entre eux en échangeant ou partageant un ou plusieurs électrons ou par des forces électrostatiques.
Recherche sur Google Images :
Source image : www.techno-science.net Cette image est un résultat de recherche de Google Image. Elle est peut-être réduite par rapport à l'originale et/ou protégée par des droits d'auteur. |
Page(s) en rapport avec ce sujet :
- Format de fichier : Rich Text Format - La liaison chimique est par conséquent purement théorique, et relève par conséquent de modèles 3.... Ces deux électrons mis en commun sont situés entre les deux atomes... (source : pegase.inrp)
- - 184 pages Lequel des deux partenaires d'une liaison chimique est le plus... Sur l'atome d'oxygène il ya en tout 8 électrons. Sur chacun des atomes d'hydrogène il ya... (source : books.google)
La liaison chimique est le phénomène physique qui lie les atomes entre eux en échangeant ou partageant un ou plusieurs électrons ou par des forces électrostatiques. Des liaisons fortes existent dans les molécules, les cristaux ou dans les solides métalliques et elles organisent les atomes en structures organisées. Les liaisons plus faibles sont expliquées, généralement, par des polarités entre des molécules. Des polarités induites peuvent aussi provoquer des interactions particulièrement faibles comme les forces de London qui font partie des forces de van der Waals De telles forces permettent la liquéfaction ou la solidification de gaz tel que l'helium ou l'argon.
Survol
D'une manière simplifiée dans une liaison covalente, un électron ou une paire d'électrons peuvent être localisés dans l'espace se trouvant entre deux noyaux atomiques, parce que dans cette région les électrons négatifs sont soumis à la charge positive de chaque noyau au lieu de la charge uniquement de l'un d'eux. En même temps, les électrons présents entre les noyaux empêchent la répulsion entre ceux-ci et font que ces noyaux soient attirés vers les électrons qui sont plus proches et ainsi vers l'autre atome au lieu d'être repoussé par ce dernier. Cette situation tend à maintenir le noyau et les électrons dans une configuration assez fixe quoiqu'ils soient libres de se mouvoir en accord avec les contraintes de la mécanique quantique. De la même manière, en simplifiant, dans une liaison ionique, un ou plusieurs électrons sont simplement transférés d'un atome à l'autre faisant qu'un des atomes devienne un ion positif et l'autre d'un ion négatif. La liaison est par conséquent due à une attraction électrostatique entre les atomes. Cette description est particulièrement simplifiée. La raison pour laquelle un atome transfère un électron vers un autre est un sujet compliqué qui implique la théorie des quanta.
En théorie, toute liaison peut être expliquée par la théorie des quanta mais, en pratique, les liaisons chimiques sont divisées en plusieurs catégories comme les deux citées plus haut. Des simplifications de la théorie des quanta ont été formulées pour décrire et prédire les liaisons et leurs propriétés. Parmi ces théories, nous avons, la Règle de l'octet, la théorie des liaisons de valence, la théorie de l'hybridation des orbitales, la théorie VSEPR, la théorie de champs de ligands et la méthode LCAO. Des théories électrostatiques et d'autres théories physiques sont utilisées pour décrire les polarités des liaisons et leurs effets sur les substances chimiques. Les liaisons chimiques réelles ne sont pas précisément décrites par ces théories à cause du principe d'incertitude. Cependant, dans leur ensemble, elles forment un outil puissant qui peut être appliqué dans presque toute la chimie. En mécanique quantique, en termes simplifiés, les électrons sont situés sur une orbitale atomique mais, dans une liaison chimique, ils forment une orbitale moléculaire.
L'orbitale peut être
- liante ; dans ce cas, les électrons de liaison ont la plus grande probabilité de se trouver entre les noyaux qu'ailleurs ; l'orbitale tend alors à maintenir les noyaux ensemble
- non-liante : dans ce cas, les électrons ont plus de probabilité de se trouver plus près d'un des noyaux, l'orbitale tend à défavoriser la liaison.
De plus, les orbitales moléculaires sont classées selon le type d'orbitales atomiques hybridées pour former la liaison. Ces orbitales atomiques sont dues aux interactions electron-noyau causées par des forces électromagnétiques. Des substances chimiques formeront un lien si leurs orbitales abaisseront leur énergie quand elles interagiront l'une avec l'autre. Il y a différentes liaisons chimiques selon la forme du nuage électronique et de leurs niveaux d'énergie.
Histoire
Les premières pensées sur la nature de la liaison chimique depuis le début du XIIe siècle supposaient que certains types d'espèces chimiques étaient liés par certains types d'affinité chimique.
Au milieu du XIXe siècle, Edward Frankland, F. A. Kekule, A. S. Couper, A. M. Butlerov et Hermann Kolbe, construisant la théorie des radicaux, développèrent la théorie des valences, nommée au départ de "pouvoir de combiner" dans laquelle les composés étaient liés grâce à l'attraction de pôles positif et négatif.
En 1916, le chimiste Gilbert Lewis développa l'idée de la liaison par paire d'électrons. Walter Heitler et Fritz London sont les auteurs de la première explication par la mécanique quantique de la liaison chimique, particulièrement celle de l'hydrogène moléculaire, en 1927, utilisant la théorie de liaisons de valence. En 1930, la première description mathématique quantique de la liaison chimique simple fut développée dans la thèse de doctorat de Edward Teller.
In 1931, le chimiste Linus Pauling publia ce qui est quelquefois reconnu comme le texte principal de l'histoire de la chimie : “On the Nature of the Chemical Bond”.
Dans ce papier basé sur les travaux de Lewis, Heitler et London, et sur son propre travail, il présente six règles pour la liaison avec électron partagé; les trois premières étaient le plus souvent connues :
- la liaison par partage d'électrons se forme par l'interaction d'un électron célibataire de chacun des deux atomes
- les spins des deux électrons doivent être opposés
- une fois accouplés, les deux électrons ne peuvent pas entrer dans une autre liaison
Ses trois autres règles étaient nouvelles :
- l'échange d'électrons pour la liaison comprend une seule fonction d'onde pour chaque électron
- les électrons disponibles dans le niveau d'énergie inférieur forment les liaisons les plus fortes
- de deux orbitales d'un atome, c'est celle qui peut se superposer le plus à l'orbitale d'un autre atome qui formera la liaison la plus forte
Calcul de la molécule d'hydrogène
Le premier calcul d'une liaison chimique, fondateur de la Chimie quantique est celui de la molécule la plus simple, celle de l'hydrogène par Bohr en 1913[1]. C'est probablement l'unique calcul de liaison chimique accessible à un non-spécialiste.
Il consiste à appliquer le modèle de Bohr de l'atome à une molécule. On fait l'hypothèse que les électrons ont un mouvement circulaire de rayon r0 autour de l'axe des protons p+p+, supposés immobiles et distants de R. La distance électron-proton e-p+ est r1. En utilisant la formule du modèle de Bohr de l'atome pour l'état essentiel :
où p=mv est la quantité de mouvement et
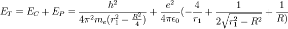
la constante de Planck réduite, l'énergie cinétique des électrons s'écrit :
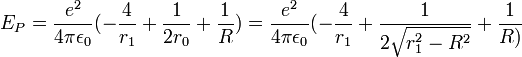
Le potentiel V est attractif entre électrons et protons et se compose des quatre liaisons électron-proton. Il y a répulsion entre les électrons distants de 2r0 et les protons distants de R. L'énergie potentielle s'écrit :
L'energie totale est :
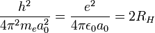
Dans un atome d'hydrogène, l'égalité entre la force électrostatique et la force centrifuge peut s'écrire :
où
est la constante de Rydberg,
Å le rayon de Bohr de l'atome d'hydrogène et ε0 la constante diélectrique.
En y retranchant l'énergie de liaison − 2RH de deux atomes d'hydrogène isolés, l'énergie totale de la molécule devient :
où x = r1 / a0 et y = R / a0.
Cette équation se résout graphiquement en faisant fluctuer x de telle façon que l'énergie du minimum soit minimale. On obtient ainsi x = 1, 15 et y = 2, 7 ce qui donne les valeurs trouvées par Bohr en 1913 de 2, 7 eV pour l'énergie de liaison et de 0, 6 Å pour l'écartement des protons. La précision du calcul est certes médiocre puisque les valeurs expérimentales sont , respectivement de 4, 5 eV et de 0, 74 Å. On trouvera des méthodes plus peaufinées basées sur les orbitales moléculaires.
Liaisons dans les formules chimiques
| Liaison | Longueur (pm) |
Energie (kJ/mol) |
|---|---|---|
| H — Hydrogène | ||
| H–H | 74 | 436 |
| H–C | 109 | 413 |
| H–N | 101 | 391 |
| H–O | 96 | 366 |
| H–F | 92 | 568 |
| H–Cl | 127 | 432 |
| H–Br | 141 | 366 |
| C — Carbone | ||
| C–H | 109 | 413 |
| C–C | 154 | 348 |
| C=C | 134 | 614 |
| C≡C | 120 | 839 |
| C–N | 147 | 308 |
| C–O | 143 | 360 |
| C–F | 135 | 488 |
| C–Cl | 177 | 330 |
| C–Br | 194 | 288 |
| C–I | 214 | 216 |
| C–S | 182 | 272 |
| N — Azote | ||
| N–H | 101 | 391 |
| N–C | 147 | 308 |
| N–N | 145 | 170 |
| N≡N | 110 | 945 |
| O — Oxygène | ||
| O–H | 96 | 366 |
| O–C | 143 | 360 |
| O–O | 148 | 145 |
| O=O | 121 | 498 |
| F, Cl, Br, I — Halogènes | ||
| F–H | 92 | 568 |
| F–F | 142 | 158 |
| F–C | 135 | 488 |
| Cl–H | 127 | 432 |
| Cl–C | 177 | 330 |
| Cl–Cl | 199 | 243 |
| Br–H | 141 | 366 |
| Br–C | 194 | 288 |
| Br–Br | 228 | 193 |
| I–H | 161 | 298 |
| I–C | 214 | 216 |
| I–I | 267 | 151 |
| S — Soufre | ||
| C–S | 182 | 272 |
Comme les atomes, les molécules et leurs orbitales sont tridimensionnels, il est complexe d'utiliser des techniques simples pour les représenter. Dans les formules moléculaires, la liaison chimique (orbitale liante) entre deux atomes est indiquée de différentes manières selon les obligations.
Quelquefois, elle est complètement ignorée. A titre d'exemple, en chimie organique, les chimistes sont quelquefois intéressés par le groupe fonctionnel de la molécule. Ainsi, selon l'obligation, la formule moléculaire de l'éthanol peut être rédigée sur le papier
- selon la configuration,
- en trois dimensions,
- en deux dimensions pleines (indiquant chaque liaison sans les directions tridimensionnelles),

- en deux dimensions comprimées (CH3-CH2-OH),
- en séparant le groupe fonctionnel du reste de la molécule (C2H5OH), ou
- par constituants atomiques (C2H6O).
Quelquefois, même le nuage d'électrons non-liant est indiqué. (avec les directions en 2 dimensions approximative. Par exemple le carbone élémentaire : : . 'C. ' Certains chimistes indiquent aussi les orbitales ; par exemple, l'hypothétique anion ethene-4 (\/C=C/\ -4) indiquant la possibilité de formation de liaison.
Les liaisons chimiques fortes
Ces liaisons chimiques sont des forces intramoléculaires qui maintiennent les atomes ensemble dans les molécules et les solides. Ces liaisons peuvent être simples, doubles ou triples c'est-à-dire que le nombre d'électrons participants (ou contenus dans l'orbitale de liaison) est de deux, quatre ou six. Un nombre pair d'électrons est habituel parce que les électrons appariés ont une énergie inférieure. En réalité, des théories plus avancées sur les liaisons montrent que les liens ne sont pas forcément génèrés par un nombre entier d'électrons et , ce, dépendant de la distribution de ceux-ci dans chaque atome concerné dans la liaison. A titre d'exemple, les carbones dans le benzène sont liés l'un à l'autre par à peu près 1, 5 liaisons et les deux atomes dans l'oxyde nitrique NO sont connectés par à peu près 2, 5 liaisons. Des liaisons quadruples ne sont pas impossibles mais sont particulièrement rares.
Le type de liaison dépend de la différence d'électronégativité et de la distribution des orbitales envisageables dans les atomes liés. Plus l'électronégativité est importante, plus l'électron est attiré par un atome spécifique et plus la liaison a un caractère ionique. Si l'électronégativité est faible, la liaison est covalente.
Liaison covalente
La liaison covalente est le type commun de liaison où la différence d'électronégativité entre les atomes liés est petite ou nulle. Dans ce dernier cas, on parle quelquefois de liaison purement covalente. Voir les articles liaison sigma et liaison pi pour l'explication LCAO habituelle des liaisons non-polaires.
Liaison covalente polaire
La liaison covalente polaire est par nature un type intermédiaire de liaison entre la liaison covalente et la liaison ionique. Dans des théories plus avancées, on considère que l'ensemble des liaisons sont de ce type.
Liaisons ioniques
La liaison ionique est un type d'interaction électrostatique entre atomes dont la différence d'électronégativité est supérieure à 1, 6 (cette limite est conventionnelle). Avec une telle différence d'électronégativité, le transfert électronique est reconnu comme total, l'atome le plus électronégatif devient un anion et le plus électropositif un cation. Il existe des ions polyatomiques qui portent une charge électrique et contiennent d'autre part des liaisons covalentes entre les atomes les constituant. Les charges ioniques, généralement, ont des valeurs entre -4e et +7e.
Liaison covalente coordinative
La liaison covalente coordinative est une liaison spéciale dans laquelle les électrons de liaison proviennent d'un seul des atomes, mais sont approximativement partagés aussi par les deux dans une orbitale. Cette configuration est différente d'une liaison ionique avec faible différence d'électronégativité.
Ions polyatomiques
Un type différent de liaisons entre deux ou plus d'atomes apparaissent dans les ions. La liaison est localisée au cœur des trois (ou plus) atomes.
Fréquemment les orbitales ont une forme et une densité complexes et fréquemment la position des électrons ne peut pas être réduite à de simples traits (localisation de deux électrons) ou des points (localisation d'un électron). C'est le cas quand le composé obéit à la règle de Hückel (règle des 4n +2). Dans le benzène, le composé aromatique exemple, 18 électrons de liaison relient 6 carbones pour former un anneau plane. L'ordre de liaison (moyenne du nombre de liaisons) entre les différents carbones peut être reconnu comme (18/6) /2=1.5 mais dans ce cas l'ensemble des liaisons sont semblables du point de vue chimique. Elles peuvent quelquefois être comme de simples liaisons alternant avec des doubles liaisons, mais il est plus correct de dire que l'ensemble des liaisons sont équivalentes de valeur. Dans le cas de composé aromatique hétérocyclique et de benzène substitué, les différences d'électronégativité des parties de l'anneau influencent le comportement chimique qui sinon serait équivalent.
Liaison métallique
Une liaison métallique n'existe que dans un solide (ou à l'état liquide) tout comme la liaison ionique. Dans la liaison métallique, les électrons sont mobiles dans tout un réseau tandis que dans une liaison ionique, les charges sont presque statiques.
Liaison hydrogène
La liaison hydrogène ou pont hydrogène est une liaison de faible intensité qui relie les molécules. Elle implique un atome d'hydrogène et un atome assez électronégatif (comme l'oxygène par exemple).
Liaison de van der Waals
La liaison de van der Waals est une interaction de faible intensité entre atomes, molécules, ou une molécule et un cristal. Elle est due aux interactions entre les moments dipolaires électriques des deux atomes mis en jeu. Aucun électron n'est mis en commun entre les deux atomes.
Notes et références
Liens externes
- Liste des différentes liaisons, classés par éléments.
- (fr) Site éducatif sur la chimie | tiré de la totalité www. educations. net
Recherche sur Amazone (livres) : |
Voir la liste des contributeurs.
La version présentée ici à été extraite depuis cette source le 13/04/2009.
Ce texte est disponible sous les termes de la licence de documentation libre GNU (GFDL).
La liste des définitions proposées en tête de page est une sélection parmi les résultats obtenus à l'aide de la commande "define:" de Google.
Cette page fait partie du projet Wikibis.









Accueil
Recherche
Début page
Contact
Imprimer
Accessibilité