Force de van der Waals
Une liaison de van der Waals est une interaction électrique de faible intensité entre atomes, molécules, ou entre une molécule et un cristal.
Recherche sur Google Images :
Source image : www.futura-sciences.com Cette image est un résultat de recherche de Google Image. Elle est peut-être réduite par rapport à l'originale et/ou protégée par des droits d'auteur. |
Définitions :
- van der Waals force Forces universelles particulièrement faibles résultant de l'attraction électrostatique des noyaux d'une molécule vis-à-vis... (source : inra)
Une liaison de van der Waals est une interaction électrique de faible intensité entre atomes, molécules, ou entre une molécule et un cristal. Quoiqu'il soit envisageable de décrire sommairement cette interaction en considérant les forces électriques qui sont présentes entre l'ensemble des couples de charges électriques qui forment ces atomes et ces molécules en définitive, c'est un phénomène qui ne peut bien se comprendre que dans le cadre de la physique quantique. Ces forces ont été appelées en l'honneur du physicien hollandais Johannes Diderik van der Waals (1837 — 1923), prix Nobel de physique 1910, qui fut le premier à introduire leurs effets dans les équations d'état des gaz en 1873 (voir Gaz de van der Waals et Équation d'état de Van der Waals).
On retrouve les effets de cette force à l'extrémité des pattes du gecko, assurant ainsi leur forte adhésion sur du verre.
Formulation
Les forces de Van der Waals ont plusieurs origines. On dénombre trois effets :
- Les forces de Keesom ou effets d'orientation.
- Les forces de Debye ou effets d'induction.
- Les forces de London ou effets de dispersion.
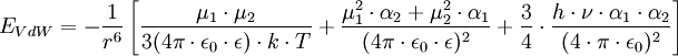
L'énergie des forces de Van der Waals EVdW peut par conséquent se formuler sous la forme :
![E_{VdW}=- \frac{1}{rˆ6} \left [ \frac{\mu_1 \cdot \mu_2}{3 ( 4 \pi \cdot \epsilon_0 \cdot \epsilon ) \cdot k \cdot T} + \frac{\mu_1ˆ2 \cdot \alpha_2 + \mu_2ˆ2 \cdot \alpha_1}{( 4 \pi \cdot \epsilon_0 \cdot \epsilon )ˆ2} + \frac{3}{4} \cdot { \frac{h \cdot \nu \cdot \alpha_1 \cdot \alpha_2}{( 4 \cdot \pi \cdot \epsilon_0)ˆ2} } \right ]](illustrations/bd47ee17fe07513163ab69d4934e3667.png)
Les trois termes de cette expression peuvent être décomposés de la manière suivante :
Cette énergie est liée aux Forces de Keesom, dûes à l'interaction entre deux molécules polaires.
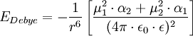
Cette énergie est liée aux forces de Debye, dûes à l'interaction entre une molécule polaire et un dipôle induit.
Cette énergie est liée aux forces de dispersion de London entre dipôles instantanés.
Ici, on a utilisé les notations suivantes : ε0 est la constante diélectrique du vide, k la constante de Boltzmann, h la constante de Planck. T est la température absolue et r la distance moyenne entre les molécules reconnues. On note μ les moments dipolaires des molécules reconnues, α les polarisabilités électriques, et ν la fréquence électronique d'absorption.
Ces forces peuvent s'exprimer de manière différente, quand les distances entre les molécules mises en jeu deviennent plus grandes que quelques nanomètres. Il faut alors prendre en compte les effets de retard dûs à la propagation de la lumière avec une vitesse finie (forces de Casimir-Polder).
Les forces de Van der Waals s'obtiennent en dérivant l'expression de l'énergie par r, il s'ensuit qu'elles fluctuent en r − 7.
La force de Van der Waals permet aussi d'expliquer la rondeur de la Terre ou celle d'un liquide dans le vide.
Effets
Dans le cas de molécules polaires, cette force s'ajoute à la force purement électrostatique (de même comportement) entre les dipôles permanents. Dans le cas de molécules à symétrie sphérique, d'atomes, etc. la force de van der Waals est l'unique qui entre en jeu pour ces distances.
À particulièrement longue distance, où il ne peut plus être question de liaison chimique, les forces de van der Waals entrent dans le cadre de l'électrodynamique quantique : à courte et longue distance, elles se décrivent proprement comme dues à l'échange des photons virtuels entre les atomes. On entre alors dans le cadre des forces de Casimir, décroissant en r-8.
Les liaisons de van der Waals n'entrent pas dans le cadre des liaisons chimiques, en ce sens que les électrons restent sur leurs atomes (ou molécules) respectifs (les termes d'échanges restent négligeables). Elles sont l'origine du terme de pression négative intervenant en correctif dans l'équation du gaz parfait. Elles sont principales pour appréhender les forces entre atomes de gaz rare.
Pour les particulièrement courtes distances on entre alors dans le domaine de la chimie, où les diverses liaisons (liaison hydrogène, liaison métallique... ) deviennent compétitives, et peuvent l'emporter.
Les forces de van der Waals participent ainsi à la physisorption, et entrent en jeu dans le phénomène de capillarité.
Les échanges de photons virtuels, qui sont leur fondement théorique, se retrouvent dans des phénomènes de même type : forces entre deux surfaces (voir les articles Frottement et Modélisation des actions de contact).
C'est grâce à cette force que les pattes du gecko adhèrent aux surfaces.
Voir aussi
Recherche sur Amazone (livres) : |
Voir la liste des contributeurs.
La version présentée ici à été extraite depuis cette source le 13/04/2009.
Ce texte est disponible sous les termes de la licence de documentation libre GNU (GFDL).
La liste des définitions proposées en tête de page est une sélection parmi les résultats obtenus à l'aide de la commande "define:" de Google.
Cette page fait partie du projet Wikibis.

![E_{Keesom}= - \frac{1}{rˆ6} \left [ \frac{\mu_1 \cdot \mu_2}{3 ( 4 \pi \cdot \epsilon_0 \cdot \epsilon ) \cdot k \cdot T} \right ]](illustrations/893331809454b3b9151a3c7ec7522c18.png)
![E_{Debye}= - \frac{1}{rˆ6} \left [ \frac{\mu_1ˆ2 \cdot \alpha_2 + \mu_2ˆ2 \cdot \alpha_1}{( 4 \pi \cdot \epsilon_0 \cdot \epsilon )ˆ2} \right ]](illustrations/14d567d0664828982d43214a9d1381e7.png)
![E_{London}= - \frac{1}{rˆ6} \left [ \frac{3}{4} \cdot { \frac{h \cdot \nu \cdot \alpha_1 \cdot \alpha_2}{( 4 \cdot \pi \cdot \epsilon_0)ˆ2} } \right ]](illustrations/cc5330b94c17c396bb5a3fe6ab23027a.png)

Accueil
Recherche
Début page
Contact
Imprimer
Accessibilité