Loi de Wien
La loi du rayonnement de Wien caractérise la dépendance du rayonnement du corps noir à la longueur d'onde. C'est une formule empirique proposée par Wilhelm Wien, qui rend bien compte de la loi du déplacement de Wien.
Recherche sur Google Images :
Source image : fr.wikipedia.org Cette image est un résultat de recherche de Google Image. Elle est peut-être réduite par rapport à l'originale et/ou protégée par des droits d'auteur. |
Page(s) en rapport avec ce sujet :
- Si on maintient l'enceinte à une température constante, le dispositif va atteindre un.... La loi de Wien est aussi confirmée par la mécanique statistique, ... (source : romain.bel.free)
- ... L'étude de ce rayonnement permettra de connaître la température de l'air à ... La loi de Wien est bien jolie mais elle a posé d'énormes problèmes... il introduit une nouvelle constante, h, nommée constante de Planck... (source : science-for-everyone.over-blog)
- ou la constante universelle h est liee a la constante b..... a la loi de WIEN est . (I4) Voir le travail cite a la note (I2).... (source : jstor)
La loi du rayonnement de Wien caractérise la dépendance du rayonnement du corps noir à la longueur d'onde. C'est une formule empirique proposée par Wilhelm Wien, qui rend bien compte de la loi du déplacement de Wien.
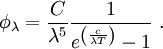
Dans sa forme donnée par Wien en 1896, elle s'écrit :
avec
= Exitance énergétique monochromatique- λ longueur d'onde
- C ≈ 3, 742×10-16 m4∙kg∙s-3 (constante de rayonnement)
- c ≈ 0, 01439 m∙K (constante de rayonnement)
- T la température en Kelvins
Cette loi décrit effectivement la présence d'un maximum de rayonnement, mais, au contraire de la loi de Loi de Rayleigh-Jeans, elle apporte des valeurs fausses pour les grandes longueurs d'onde. En outre, elle implique que l'intensité de rayonnement soit limitée avec l'augmentation de la température, ce que contredit aussi l'expérience.
Max Planck corrigea cette faute en 1900, en proposant la formule suivante :
avec
(constante de rayonnement)
(constante de rayonnement)
Planck remplaça les constantes empiriques C et c par des constantes naturelles : la constante de Boltzmann, la célérité de la lumière dans le vide et une nouvelle constante h appelée Constante de Planck (h comme "Hilfskonstante" = constante auxiliaire, nommée plus tard quantum d'action de Planck en son honneur). Il développa ensuite en quelques semaines la loi du rayonnement de Planck, qui marque le début de la mécanique quantique.
Voir aussi
Liens externes
- (en) http ://www. ffn. ub. es/luisnavarro/nuevo_maletin/Planck%20 (1900), %20Improvement%20of%20Wien's. pdf Max Planck, "Ueber eine Verbesserung der Wien'schen Spectralgleichung", Verhandlungen der Deutschen physikalischen Gesellschaft 2 (1900) Nr. 13, pp. 202 - 204, Version anglaise.
- (de) Cet article est partiellement ou en totalité issu d'une traduction de l'article de Wikipédia en allemand intitulé «Wiensches Strahlungsgesetz».
Recherche sur Amazone (livres) : |
Voir la liste des contributeurs.
La version présentée ici à été extraite depuis cette source le 13/04/2009.
Ce texte est disponible sous les termes de la licence de documentation libre GNU (GFDL).
La liste des définitions proposées en tête de page est une sélection parmi les résultats obtenus à l'aide de la commande "define:" de Google.
Cette page fait partie du projet Wikibis.





Accueil
Recherche
Début page
Contact
Imprimer
Accessibilité