Effet photoélectrique
En physique, l'effet photoélectrique sert à désigner en premier lieu l'émission d'électrons par un matériau soumis à l'action de la lumière.
Catégories :
Optique quantique - Électrodynamique quantique - Théorie quantique des champs - Physique quantique - Albert Einstein
Recherche sur Google Images :
Source image : forums.futura-sciences.com Cette image est un résultat de recherche de Google Image. Elle est peut-être réduite par rapport à l'originale et/ou protégée par des droits d'auteur. |
Page(s) en rapport avec ce sujet :
- 19 messages - 3 auteurs - Dernier message : 29 nov 2007 L'effet photoélectrique est -il en "compétitioin" avec l'effet Compton ou... par le niveau d'énergie de l'électron Auger émis et in exsteno, ... (source : forums.futura-sciences)
- photoélectrique, effet, émission d'électrons par un métal sous l'effet de radiations... au cours desquels des photons cèdent leur énergie à des électrons.... L'effet photoélectrique est découvert en 1887 par le physicien allemand... (source : fr.encarta.msn)
- L'effet photoélectrique est quasiment instantané (moins de 10... La détermination de l'énergie cinétique des électrons se fait... (source : physics.pub)
En physique, l'effet photoélectrique (EPE) sert à désigner en premier lieu l'émission d'électrons par un matériau soumis à l'action de la lumière. Par extension, il regroupe quelquefois la totalité des phénomènes électriques d'un matériau génèrés par l'action de la lumière. On peut distinguerra alors deux effets : des électrons sont éjectés du matériau (émission photoélectrique) et une modification de la conductivité du matériau (photoconductivité, effet photovoltaïque quand il est en œuvre au sein d'une cellule photovoltaïque, effet photoélectrochimique, effet photorésistif).
Quand l'EPE se manifeste, toute l'énergie du photon incident se transmet à l'électron périphérique sous forme d'énergie cinétique. Une absorption partielle est caractérisée par la diffusion Compton.
Historique
En 1839, Antoine Becquerel et son fils présentent pour la première fois un effet photoélectrique. Leur expérience permet d'observer le comportement électrique d'électrodes émergées dans un liquide, modifié par un éclairage.
Il a été compris et présenté en 1887 par Heinrich Rudolf Hertz qui en publia les résultats dans la revue scientifique Annalen der Physik[1].
Albert Einstein fut le premier à en proposer une explication, en utilisant le concept de particule de lumière ou quantum, nommé actuellement photon, originellement introduit par Max Planck dans le cadre de l'explication qu'il proposa lui-même pour l'émission du corps noir.
Albert Einstein a expliqué que ce phénomène était génèré par l'absorption de photons, les quanta de lumière, lors de l'interaction du matériau avec la lumière.
Définition
L'effet photoélectrique est l'émission d'électrons par un matériau, le plus souvent métallique quand ce dernier est exposé à la lumière ou un rayonnement électromagnétique de fréquence suffisamment élevée, qui dépend du matériau.
Dans l'effet photoélectrique, on éclaire une plaque de métal et celle-ci émet des électrons.
Constatations expérimentales de l'émission photoélectrique
- Les électrons ne sont émis que si la fréquence de la lumière est suffisamment élevée et dépasse une fréquence limite nommée fréquence seuil
- Cette fréquence seuil dépend du matériau et est directement liée à l'énergie de liaison des électrons qui peuvent être émis,
- Le nombre d'électrons émis lors de l'exposition à la lumière, qui détermine l'intensité du courant électrique, est proportionnel à l'intensité de la source lumineuse,
- L'énergie cinétique des électrons émis dépend linéairement de la fréquence de la lumière incidente.
- Le phénomène d'émission photoélectrique se produit dans un délais extrêmement petit inférieur à 10-9 s après l'éclairage, ce qui rend le phénomène quasi instantané.
Interprétation et explication
Cet effet ne peut pas être expliqué de manière satisfaisante quand on considère que la lumière est une onde, la théorie acceptée à l'époque, qui permet d'expliquer la majorité des phénomènes dans lesquels la lumière intervient, tel l'optique, et qui était traduite mathématiquement par la théorie de James Clerk Maxwell.
En effet, si on considère la lumière comme une onde, en augmentant son intensité et en attendant suffisamment longtemps, on devrait pouvoir apporter suffisamment d'énergie au matériau pour en libérer les électrons. L'expérience montre que l'intensité lumineuse n'est pas l'unique paramètre, et que le transfert d'énergie provoquant la libération des électrons ne peut se faire qu'à partir d'une certaine fréquence.
L'interprétation de Einstein, l'absorption d'un photon, permettait d'expliquer idéalement l'ensemble des caractéristiques de ce phénomène. Les photons de la source lumineuse possèdent une énergie caractéristique déterminée par la fréquence de la lumière. Quand un électron du matériau absorbe un photon et que l'énergie de ce dernier est suffisante, l'électron est éjecté; sinon l'électron ne peut s'échapper du matériau. Comme augmenter l'intensité de la source lumineuse ne change pas l'énergie des photons mais uniquement leur nombre, on comprend facilement que l'énergie des électrons émis par le matériau ne dépend pas de l'intensité de la source lumineuse.
Après l'absorption du photon par l'atome, le photoélectron émis a une énergie
Ee = Eg − Eb
où Eb est l'énergie de liaison du photoélectron.
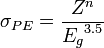
L'effet photoélectrique domine aux faibles énergies, mais la section efficace croît rapidement avec le numéro atomique Z :

où n fluctue de 4 à 5.
À des énergies et des numéros atomiques où ce processus est important, l'électron émis est absorbé sur une distance particulièrement courte de telle manière que toute son énergie est enregistrée dans le détecteur. Les rayons X qui sont émis dans la réorganisation du cortège électronique suite à l'émission de l'électron sont aussi absorbés dans le milieu.
Equation
L'énergie d'un photon est caractérisée par la formule E=h·f, formule découverte par Einstein. "E" correspond à l'énergie du photon, f à la fréquence et h est la constante de Planck qui vaut 6.626076·10-34 Joule-secondes [J·s]. On constate que l'énergie du photon est par conséquent proportionnelle à la fréquence, par conséquent à la couleur de ce dernier[2].
Applications
- Effet photoélectrique externe : un tube photomultiplicateur (PMT en anglais) est une application directe de cet effet. L'électron créé par le rayonnement incident est ensuite multiplié (d'où le nom) grâce à un dispositif de dynodes, à voltage progressif.
- Effet photoélectrique interne : il se déroule dans un semiconducteur. C'est l'excitation d'un électron dans la bande de conduction qui donne généralement lieu à un courant. Ce dernier peut être mesuré pour servir de détecteurs (photodiode, cellule photoélectrique) ou récolté pour apporter de l'électricité (cellule photovoltaïque).
Références
Recherche sur Amazone (livres) : |
Voir la liste des contributeurs.
La version présentée ici à été extraite depuis cette source le 12/04/2009.
Ce texte est disponible sous les termes de la licence de documentation libre GNU (GFDL).
La liste des définitions proposées en tête de page est une sélection parmi les résultats obtenus à l'aide de la commande "define:" de Google.
Cette page fait partie du projet Wikibis.


Accueil
Recherche
Début page
Contact
Imprimer
Accessibilité